AVAX Token Economics
AVAX Tokeneconomics Supply Mechanism AVAX Tokeneconomics Reward Mechanism AVAX Tokeneconomics Burn Mechanism AVAX Token Economics #AVAX #Tokeneconomics
What will AVAX be worth in 2025? What is the price of AVAX? What is AVAX used for? Can AVAX reach $100 dollars? These are the most asked questions on AVAX in google search. This article offers an insightful exploration of Avalanche's ecosystem, highlighting its distinctive features and growth trajectory. Discover how Avalanche stands out in the blockchain arena with its sophisticated mechanism for token circulation, staking, and a strategic approach to maintaining a balanced network. Stay tuned as we delve into the nuances of Avalanche, revealing what makes it a key player in the ever-evolving blockchain landscape.
Key Takeaways:
The total supply of AVAX will be 720 million.
There are 365,440,671 AVAX circulating in the Avalanche network.
Total created AVAX amount is 437,518,711.
72 million AVAX is created but locked.
Total staked AVAX amount is 255,491,180.
AVAX staking ratio is %58.5
The total amount of AVAX burned is 4.070.956
Introduction to AVAX World
The basic currency of the Avalanche network, AVAX, has a token economics that is shaped by payments(rewards) made to Validators. Unlike Proof of Work (PoW), the Avalanche network utilizes Proof of Stake (PoS). In PoW, miners are paid for block generation, whereas in PoS, validators are rewarded for locking(staking) their AVAX tokens in the system. You can access the AVAX whitepaper via this link.
This whitepaper indicates that fees are not given as rewards to validators but are burned and the total supply of AVAX will be 720 million.
When AVAX was first launched (genesis), 360 million AVAX were created, and it is stated that the remaining 360 million AVAX will be supplied (minted) within the framework of the following equation. AVAX is created through rewards given to validators.
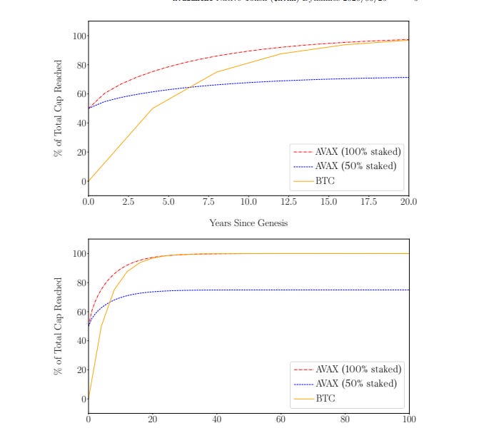
In the two graphs provided, the first one shows a comparison of AVAX with BTC over a 20-year scale, while the other presents the comparison on a 100-year scale.
In the graph above, on a 20-year scale (with γ= 1.15 and λ= 1.1):
— AVAX (%100 staked): The scenario where each AVAX is staked for one year,
— AVAX (%50 staked): The scenario where one out of every two AVAX is staked for two weeks, and the supply curve of BTC is shown.
In the graph below, on a 100-year scale (with γ= 1.15 and λ= 1.1):
— AVAX (%100 staked): The scenario where each AVAX is staked for one year,
— AVAX (%50 staked): The scenario where one out of every two AVAX is staked for two weeks, and the supply curve of BTC is shown.
In the scenario where all created AVAX are staked for one year, the total reaches 720 million within 20 years.
How much Avax is in circulation?
Currently, there are 365,440,671 AVAX (snowtrace) circulating in the Avalanche network.
How much Avax is created?
Thi information is provided from the blockchain area. Thanks to Kârūn the Troll.
Total created AVAX amount is 437,518,711 (26.12.2023)
You can find the total amount of AVAX created on the websites of central exchanges, but the values you will find there will not be actual amount. The difference between the value obtained from the blockchain and the value on Coinmarketcap is clearly visible.
The amount of avax currently created but locked is nearly 72 million.
What is AVAX Staking Ratio?
Total stake amount is 255,491,180 AVAX.
Total created amount is 437,518,711 AVAX and total stake amount is 255,491,180 AVAX.
AVAX Staking Ratio = 255,491,180 /437,518,711 = %58
The ratio of the total staked AVAX (255,491,180) to the total created AVAX (437,518,711) is approximately %58.
How much AVAX has been burned ?
Yes, the system does burn AVAX. As observed, the total amount of AVAX burned is 4.070.956. For more detailed information on the burning process, you can click on the provided link.
In summary:
The creation of AVAX in the Avalanche mechanism occurs through the payment of AVAX to Validators in exchange for their staking activities.
The more Validators stake, and the longer they stake (up to a maximum of one year), the more AVAX is created.
If there are issues with supply, the coefficients γ (gamma) = 1.15 and λ (lambda) = 1.1 can be adjusted.
The fees deducted from transactions on the AVAX network are not given to Validators; instead, they are directly burned.
Engin YILMAZ ( Veridelisi )
Thank you Mr. Mustafa and Mr. Hasan.
Source:
Hasan Karahan (2021), https://www.paraanaliz.com/2021/yazarlar/veri-delisi/avax-konsensusu-uzerine-elestiriler-ve-oneriler-g-7649/
Avalanche Native Token Dynamics (2020), https://assets.website-files.com/5d80307810123f5ffbb34d6e/6008d7bc56430d6b8792b8d1_Avalanche%20Native%20Token%20Dynamics.pdf
Coinmarketcap, (2023), https://coinmarketcap.com/currencies/avalanche/
Snowtrace, (2023), https://snowtrace.io
Avax Network, (2023), https://www.avax.network/validators
BurnedAvax, (2023), https://burnedavax.com















